升流式厭氧反應器(UASB)中廢水通過布水裝置依次進入底部的污泥層和中上部污泥懸浮區。與其中的厭氧微生物進行反應生成沼氣,氣、液、固混合液通過上部三相分離器進行分離,污泥回落到污泥懸浮區,分離后廢水排出系統,同時回收產生的沼氣。注:常規的UASB沒有外循環泵(在水力負荷特別低,造成上升流速特別低的情況下,有設置外循環泵的現場)
一、UASB反應器的進水條件
1、PH值6.0-8.0
2、營養比例(COD:氨氮:TP)100-500:5:1
3、進水懸浮物:≤1500mg/L
4、B/C≥0.3
5、進水氨氮濃度:≤2000mg/L
6、進水COD濃度:≥1500mg/L
7、其他有毒物質最大允許值:

除上面提到的細菌中毒之外,在UASB中還有一些形式的中毒。游離H2S-S濃度達到80mg/l時,發生硫化物中毒。如果UASB的進水滿足下列條件,則H2S中毒可以避免。1)COD/SO4>20g/g,2)COD/SO4>15g/g和COD<30g/l,3)COD/SO4>10g/g和COD<10g/l,4)COD/SO4>7.5g/g和COD<5g/l,注意:COD與SO42-的比值大于10是理想條件。(規范上給出的硫酸根濃度≤1000mg/L)
二、UASB常用參數及公式
1、當廢水可生化性差的時候需要在UASB前端設置水解酸化池。
水解酸化池的容積負荷常用的計算公式:

式中:
V——反應器有效容積,m3;Q——設計處理量,m3/d;Nv——容積負荷,kgCOD/(m3·d)S0——進水COD,mg/L
容積負荷取值范圍:

2、UASB容積負荷
UASB反應器容積負荷常用的計算公式:

式中:
V——反應器有效容積,m3;Q——設計處理量,m3/d;Nv——容積負荷,kgCOD/(m3·d)S0——進水COD,mg/L
容積負荷取值范圍:

3、布水裝置
多點布水,進水管負荷,見下表

4、其他常用參數:
- 有效水深:5-8m;
- 上升流速:<0.8m/h。(如果是絮狀污泥的話,建議取更低的上升流速);
- 大阻力穿孔管布水,過孔流速:>2.0m/s,穿孔管直徑應大于100mm;
- 穿孔布水管與池底距離:200mm;
- 沉淀區表面負荷不大于0.8m3/(㎡·h);
- 沉淀區總水深應大于1.0m;
- 出水堰口負荷不大于1.7L/(S·m),即:6.12m3/(h·m);
- UASB污泥產率為:0.05-0.10kgVSS/kgCOD;
- UASB宜采用重力多點排泥;
- UASB排泥點宜設在污泥區中上部和底部,中上部排泥點宜設在三相分離器下0.5-1.5m;
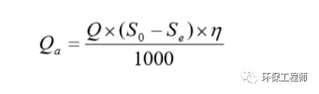
5、UASB沼氣產率及計算公式

式中:
Qa——沼氣產量,Nm3/d;Q——設計處理量,m3/d;η——沼氣產率,Nm3/kgCOD(常用取值范圍:0.45-0.50 Nm3/kgCOD);S0——進水COD,mg/LSe——出水COD,mg/L
三、UASB啟動
1、以絮狀污泥啟動
- 絮狀污泥接種量為:20-30kgVSS/m3;
- 啟動負荷不大于1kgCOD/(m3·d);
- 上升流速不大于0.2m/h;
- 進水濃度宜為:5000mg/L;
- 加熱時,每日溫升2℃,使UASB達到設計溫度;
- 出水COD去除率達到80%以上,或出水VFA低于200mg/L后可逐步提高容積負荷;
- 容積負荷每次提升為設計負荷的20%-30%;
- 進水水力負荷(可認為是上升流速)過低時可采用出水回流,提高反應器的上升流速,加快污泥顆粒化和優良菌種的選擇進度;
2、以顆粒污泥啟動
- 顆粒污泥接種量為:10-20kgVSS/m3;
- 啟動負荷宜為:3kgCOD/(m3·d)
- 處理廢水與接種污泥廢水性質完全不同時,宜在第一周保持初始污泥負荷低于最大設計負荷的50%
四、UASB運行控制
1、UASB中堿度(ALK)(以碳酸鈣計)不低于2000mg/L,也有提出在1000-5000mg/L;
2、UASB中揮發性脂肪酸(VFA)不高于200mg/L,也有提出在50-2500mg/L;
3、有提出VFA/ALK應保持在0.3以下時,但是有時候就算超出以上數據,厭氧塔也可正常運行;
4、啟動和運行時,UASB反應器內PH宜為6.8-7.5(也有提出在6.0-8.0);
5、UASB反應區污泥濃度不低于3萬mg/L;
6、UASB污泥層應維持在三相分離器下0.5-1.5m;
7、UASB宜維持穩定的反應溫度;
8、有資料提出鈣離子濃度在80-150mg/L時有利于顆粒污泥的形成;
9、如果有檢測條件,可以對進水微量元素進行檢測,進而適當的補充微量元素,以利于產甲烷菌的繁殖及活性的提高,主要的微量元素有:鐵、鈷、鎳等。

蘇州浦宏環保科技有限公司是一家專注水處理設備的廠家,主要產品有RO反滲透設備,中水回用設備,EDI高純水設備,海水淡化設備,軟化水設備,超濾設備、去離子水設備,工業廢水污水處理設備等各種水處理技術的研發,設計生產、安裝調試等一體化企業。17811872518 王工


客服1